在了解套筒透镜之前,我们要先聊聊“无限远光学”。
“无限远光学”这一概念是指在显微镜的物镜和套筒透镜之间由于光束平行传播而产生的“无限远空间”。平面光学元件可以进入到这个“无限远空间”中,而不影响成像,由此,诞生了无限远校正的成像方式,如下图。
图1 无限远成像组件
在现代显微光学与机器视觉中,一片式透镜无法校正多种光学像差,套筒透镜不是一片简单的聚焦透镜,而是一套为特定物镜体系量身匹配的成像单元,它与物镜的设计焦距共同决定总倍率(总倍率≈套筒透镜焦距/物镜等效焦距)。套筒透镜作为一个经过精密设计的组合透镜系统,其核心作用就是与物镜配合,共同消除这些像差,从而获得清晰、平坦、准确的显微图像。因此,理解套筒透镜的定义与作用,是搭建高分辨率显微成像、荧光检测与光谱成像系统时绕不开的第一步。
套筒透镜又称管镜、筒镜、Tubelens等,是显微成像系统中用于把物镜形成的中间像真正成像到相机/目镜平面上的关键成像镜组,常见于无限远校正(Infinity-corrected)显微光路。它通常放置在物镜之后、与物镜配套的指定距离位置,将物镜输出的近似平行光重新会聚,形成清晰的中间像,并最终决定系统的总放大倍率与像面位置。
图2 物镜-套筒透镜[左],物镜-单片式透镜[右]
在无限远校正模块中,由标本通过物镜的光线不在物镜成像,而是作为无限远的平行光束进入套筒透镜,由套筒透镜形成中间像,理论上如果套筒透镜的口径足够大,平行光束即可延伸至无限远,物镜和套筒透镜之间的这个空间称为“无限空间”。
图3 物镜和套筒透镜之间可插入各类光学元件
无限空间中,根据不同的实验需求,可放置一些调制器件,如偏振片、滤光片,或放置一些分光元件如非偏振分束立方,分光平片等,几乎不影响光学成像质量。
套筒透镜焦距与物镜焦距之间的比例决定了系统的总放大倍率。通过选择不同焦距的套筒透镜,可以改变系统的放大倍率,从而满足不同的观察需求,100 mm~600 mm是套筒透镜常用的焦距范围。其中,100 mm左右焦距的套筒透镜为短焦Tube lens,一般应用于大视场成像或中继模块中,300 mm以上焦距的套筒透镜为长焦Tube lens,一般用于远距离成像或高倍率观测。

但主流显微镜厂商把无限远物镜体系长期标准化在180 mm(典型如奥林巴斯)和 200 mm(典型如徕卡/尼康/蔡司等常见体系)的套筒透镜上——物镜的像差校正、视场与放大倍率都是按这个套筒透镜焦距配套设计的;选180/200 mm 既能直接兼容最多的∞物镜与现成镜筒/相机接口,又能在倍率、视场、系统长度与成本之间取得最通用的平衡,因此使用最广。180/200 mm的标准套筒透镜与无限远物镜的搭配,是显微成像中最常用的成像方法,而具有远心设计的无限远矫正远心套筒透镜,可以与激光扫描镜头搭配使用形成远心系统,适合应用于激光扫描和宽场成像。


图4 激光扫描示意图
对于无限远光路,系统放大倍率的计算方法如下:

相同物镜下,焦距越大的套筒透镜可获得更高倍率。例如,套筒透镜焦距180 mm时,物镜焦距6 mm对应30倍放大倍数。
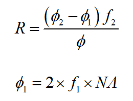
在某些特殊场景下,需要在无限空间中插入大量的照明光学组件或其他光学元件,导致无限空间距离过大,整个视场范围内(从中心到边缘),图像亮度不一致的渐晕成像。因此,按照物镜搭配套筒透镜时,需根据物镜和套筒透镜的参数,确定无限空间的最大允许距离,计算方法如下:

其中,Ø1为物镜的出瞳直径,Ø2为套筒透镜的入射透镜直径,Ø为成像视场大小,f1和f2分别为物镜和套筒透镜的焦距,NA为物镜的数值孔径。以成像视场Ø22 mm,使用焦距20 mm,数值孔径NA=0.28的物镜和套筒透镜LBTEK-ITL200-A(入射透镜直径为30 mm)时,距离在R=170.9 mm以下时,以成像视场Ø22 mm可以得到无渐晕的成像。
套筒透镜除了可以用于显微成像,还可以与激光加工、精密检测等应用结合。例如,在贝塞尔光斑测试中,锥透镜常用来生成贝塞尔强度分布的光束或环形光束,高斯光束从平面入射,通过锥透镜就可以生成与贝塞尔分布非常相似的光束。但是受加工限制,锥角无法加工到理想状态,从而导致锥透镜焦点位置即贝塞尔光班位置经常出现缺陷,贝塞尔光斑很小,只有微米级别,为了检测贝塞尔光斑,LBTEK使用物镜和自研生产的套筒透镜,设计出放大20倍的测试系统,如下图所示,最终通过相机进行贝塞尔光斑的观测。
图5 贝塞尔光斑测试系统
图6 贝塞尔光斑
经过放大后,我们可以通过相机清楚的看到贝塞尔光斑的质量。
总之,套筒透镜是成像系统里的关键一环,它不仅影响倍率与视场,还关系到画面是否均匀、边缘是否暗角,以及系统能否方便地加入滤光片、分光器等功能模块。理解并正确选型套筒透镜,往往就是把一套成像系统从能用提升到好用的分水岭。