光功率计是光学计量的基本工具。便携式数字光功率计由PM系列探头和LYNX表头组成。探头将光信号转化为电信号,经信号放大和滤波处理消除噪声干扰,再通过模数转换将模拟信号转换为数字信号;表头读取探头的数字信号和校准数据,计算得到测量结果。所有的探头都经过严格的校准,校准结果可直接追溯到中国国家计量院(NIM)。上位机软件支持多设备协同工作,可同时连接多台光功率计,实现对多台光功率计测量数据的即时采集与处理。 注意:当前系列产品暂不适用于脉冲光源场景的测量。更多功能开发敬请期待!
(1) (2)

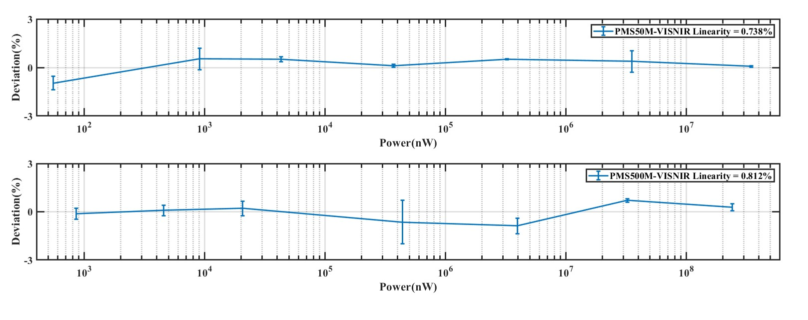
(3) (4)
(5) -Fv9_Gs0BI9SVV1tGL2pXm-kliNjV.png?attname=线性图(在售标准款).png)

(6)
注意:a. 曲线1-4按照980nm归一化标准,曲线5按照1550nm归一化标准,测量数据的相对值,而非绝对值;
b. 不同仪器之间检测结果可能存在差异,上述曲线信息仅供参考。
功率是光的基本物理量。光功率计是光学计量的基本工具。
统一度量衡是计量工具的基本要求。对于光功率计,关键步骤是“校准”。校准,依托的标准和规范来自于计量体系。
中国国家计量院(NIM),和美国NIST、德国PTB等国外知名品牌的追溯标准一样,都承接于国际计量局。再逐级往下到省、市、县、企业级计量院或机构成为整个计量体系。通过这个层级设计,可以将计量标准有效辐射覆盖到整个行业和地区。但是,计量一定会存在误差,误差会逐级传递放大。级别越低,测量不确定度会越大。用户可以根据自己的需求选择合适的计量级别。

计量体系层级图
麓邦直接采用国家计量院的标准器(见下图),参考《JJG 813-2013 光纤光功率计检定规程》、《JJG 965-2013 通信用光功率计》等行业规范,打造了完备、系统、高自动化的校准/检测系统,校准和检测结果可以直接追溯到NIM。

国家计量院标准器A的认证书 国家计量院标准器B的认证书
LBTEK研发的PM系列光功率计,具有可靠的软硬件设计,开发阶段经历严格的可靠性测试。由该系统校准生产的探头已获得NIM的权威认证(见下图)。每一颗出厂探头都遵循规范的生产/质检程序,都有相对应的质检报告。
1 PMS50M-VISNIR探头在国家计量院的检测证书


2 PMS500M-VISNIR探头在国家计量院的检测证书

注:若要查看样机证书原件,请联系我司技术支持。

LYNX功率计表头配有液晶触控显示屏和传统的机械功能按键,既保留了传统的使用习惯,还增加了灵活丰富的人机交互体验。表头背面有金属支架,底部有M6螺纹安装孔。整体造型设计符合人体工学,手持体验好。表头通过USB数据线与上位机软件连接,可以获得更流畅、灵活的操作体验。

光功率计背面图
| 产品型号 |
显示屏规格
|
内存容量
|
单价 | 对比 | 发货日期 | |||
|---|---|---|---|---|---|---|---|---|
|
|
LYNX | 5 英寸电容式液晶触控显示屏 | 1 GB | ¥8900 | 3周 |
|
加入购物车 |

PMS系列标准款探头工作波长200-1100nm,覆盖紫外至近红外波段,适配多场景功率检测需求。支持测量小发散角、窄带宽的低功率相干和非相干光。探头尺寸可选,其中PMS500M-UVISNIR可适配30mm同轴系统,探头设计兼顾紧凑性与通用性。有效接收孔径Ø9.5 mm,满足大光斑需求。探头正面集成检测卡,实现光源快速定位与可视化校准,降低操作难度并提高对准效率。入射面采用磨砂工艺处理,有效抑制强反射光干扰,提升信噪比。探头外观采用流线型设计与填油工艺,提升握持稳定性与产品辨识度。

PMS500M-UVISNIR探头置于30 mm 同轴系统
| 产品型号 |
波长范围
|
功率范围
|
单价 | 对比 | 发货日期 | |||
|---|---|---|---|---|---|---|---|---|
|
|
PMS50M-VISNIR | 400-1100 nm | 50 nW - 50 mW | ¥2288 | 当天 |
|
加入购物车 | |
|
|
PMS500M-VISNIR | 400-1100 nm | 500 nW - 500 mW | ¥2488 | 当天 |
|
加入购物车 | |
|
|
CAL-PMS50MVISNIR | 校准服务 | 校准服务 | ¥1000 | 联系客服 |
|
加入购物车 | |
|
|
PMS500M-UVISNIR 新品 | 200 - 1100 nm | 500 nW - 500 mW | ¥3788 | 5周 |
|
加入购物车 | |
|
|
CAL-PMS500MVISNIR | 校准服务 | 校准服务 | ¥1000 | 联系客服 |
|
加入购物车 | |
|
|
CAL-PMS500MUVISNIR | 校准服务 | 校准服务 | ¥1000 | 联系客服 |
|
加入购物车 |

LBTEK的光功率计积分球款探头不受入射光束的发散角和形状的影响,支持光纤及自由空间的光源输入。漫反射涂层采用PTFE,反射系数高,耐受性强。探测范围涵盖紫外到近红外。正面带SM1外螺纹转接件,可兼容光纤适配器。积分球内部探头前加装挡光板,防止未经均匀的光源直射探头。
LBTEK的光功率计积分球款探头均可兼容两种光源入射孔径:带SM1外螺纹转接件时的有效接收孔径为Ø12mm;不带SM1外螺纹转接件时的有效接收孔径为Ø22mm;光源入射场景适配性强。

光功率计积分球款探头光源输入端口示意图
| 产品型号 | 波长范围 | 功率范围 | 单价 | 对比 | 发货日期 | |||
|---|---|---|---|---|---|---|---|---|
|
|
PMIS3WL-UVISNIR 新品 | 250 - 1100 nm | 1 μW - 3 W | ¥8488 | 5周 |
|
加入购物车 | |
|
|
PMIS3WL-NIR 新品 | 800 - 1700 nm | 1 μW - 3 W | ¥8488 | 6周 |
|
加入购物车 | |
|
|
CAL-PMIS3WLUVISNIR | 校准服务 | 校准服务 | ¥1000 | 联系客服 |
|
加入购物车 | |
|
|
CAL-PMIS3WLNIR | 校准服务 | 校准服务 | ¥1000 | 联系客服 |
|
加入购物车 |
| 产品型号 | 波长 | 当前波长(nm) | 当前透射率(%) |
|---|